什么是串聯(lián)?串聯(lián)是指兩個或兩個以上物體并行相連串接在一同,就似乎一列火車,各個高速公路串聯(lián)在一起。電子技術中的串聯(lián)主要有元器件的串聯(lián)、電路的串聯(lián)、電氣設備的串聯(lián)等。
在元器件的串聯(lián)中,電阻串聯(lián)后總阻值增大。兩個電阻的串聯(lián)如圖1-13所示,電阻R1的電阻值為R1。電阻R2的電阻值為R2兩個電阻串聯(lián)后,等效為一個電阻R,電阻R的電阻值R=R1+R2。當R1=R2時,R=2R1。
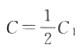
電容串聯(lián)后總容量減小。兩個電容的串聯(lián)如圖l-14所示,電容C1的電容量為C1,電容C2的電容量為C2兩個電容串聯(lián)后,等效為一個電容C,電容C的電容容量C=
,當C1=C2時,
。

,當C1=C2時,
。
測量電流時—般采用串聯(lián)方式,如圖1-15所示,電流表PA串接在燈泡EL的電路中,即可丈量燈泡的電流。
電燈的串聯(lián)如圖1-16所示,兩個功率相等的燈泡EL1、EL2串聯(lián)銜接在220V電源上,每個燈泡得到一半電壓,即110V電壓。這可以是兩個IlOV燈泡的一種應用方式,也可以是兩個220V燈泡降低亮度延短命命的應用方式。

烜芯微專業(yè)制造二三極管,MOS管,20年,工廠直銷省20%,1500家電路電器生產企業(yè)選用,專業(yè)的工程師幫您穩(wěn)定好每一批產品,如果您有遇到什么需要幫助解決的,可以點擊右邊的工程師,或者點擊銷售經(jīng)理給您精準的報價以及產品介紹

烜芯微專業(yè)制造二三極管,MOS管,20年,工廠直銷省20%,1500家電路電器生產企業(yè)選用,專業(yè)的工程師幫您穩(wěn)定好每一批產品,如果您有遇到什么需要幫助解決的,可以點擊右邊的工程師,或者點擊銷售經(jīng)理給您精準的報價以及產品介紹

