下圖給出了MOS idvg idvd的圖形,可以得出不同偏置電壓情況下器件的趨勢,以及偏微分之后GmRout的電學特性。

什么是大信號?

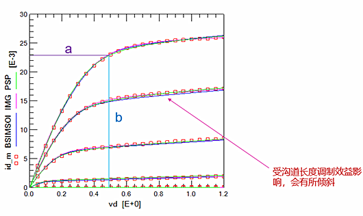
以Idvd曲線為例,對于MOS管來說,大信號所體現的特性是直流的靜態工作點。那么其直流阻抗就是V/I=b/a。
什么是小信號?

與大信號與之對應的是小信號,還是以Idvd曲線為例,對于MOS管來說,小信號所體現的特性是大信號的微小變化,也就是交流信號。
那么其交流阻抗是靜態工作點的切線斜率,可以寫成△V/△I或者?V/?I。
小信號是確定管子工作在的某個區域所體現的微小變化。
大信號和小信號的聯系
大信號就是區別管子工作在哪個區域,截止區or亞閾值區or線性區or飽和區。
小信號是確定管子工作在的某個區域所體現的微小變化。


總結:
在電路設計中,大信號和小信號的分析設計到方方面面,比如大信號模型用來看靜態工作點、壓擺率、THD等等,而小信號更關注增益、帶寬、穩定性等等。
大信號和小信號等效模型是電路分析的核心,也是直覺建立不可或缺的至關重要的環節。
〈烜芯微/XXW〉專業制造二極管,三極管,MOS管,橋堆等,20年,工廠直銷省20%,上萬家電路電器生產企業選用,專業的工程師幫您穩定好每一批產品,如果您有遇到什么需要幫助解決的,可以直接聯系下方的聯系號碼或加QQ/微信,由我們的銷售經理給您精準的報價以及產品介紹
聯系號碼:18923864027(同微信)
QQ:709211280

